HelloKitty • 2023-04-14 14:55
4631
本文由 白鲸技术栈 撰写/授权提供,转载请注明原出处。
文章来源于:新智元
作者:编辑部
不得了,GPT-4 都学会自己做科研了?
最近,卡耐基梅隆大学的几位科学家发表了一篇论文,同时炸翻了 AI 圈和化学圈。
他们做出了一个会自己做实验、自己搞科研的 AI。这个 AI 由几个大语言模型组成,可以看作一个 GPT-4 代理智能体,科研能力爆表。
因为它具有来自矢量数据库的长期记忆,可以阅读、理解复杂的科学文档,并在基于云的机器人实验室中进行化学研究。
网友震惊到失语:所以,这个是 AI 自己研究然后自己发表?天啊。

还有人感慨道,「文生实验」(TTE)的时代要来了!

难道这就是传说中,化学界的 AI 圣杯?

最近大概很多人都觉得,我们每天都像生活在科幻小说中。

AI 版绝命毒师来了?
3 月份,OpenAI 发布了震撼全世界的大语言模型 GPT-4。
这个地表最强 LLM,能在 SAT 和 BAR 考试中得高分、通过 LeetCode 挑战、给一张图就能做对物理题,还看得懂表情包里的梗。
而技术报告里还提到,GPT-4 还能解决化学问题。
这就启发了卡耐基梅隆化学系的几位学者,他们希望能开发出一个基于多个大语言模型的 AI,让它自己设计实验、自己做实验。

论文地址:https://arxiv.org/abs/2304.05332
而他们做出来的这个 AI,果然 6 得不行!
它会自己上网查文献,会精确控制液体处理仪器,还会解决需要同时使用多个硬件模块、集成不同数据源的复杂问题。
有AI版绝命毒师那味儿了。

会自己做布洛芬的 AI 举个例子,让这个 AI 给咱们合成布洛芬。

给它输入一个简单的提示:「合成布洛芬。」
然后这个模型就会自己上网去搜该怎么办了。
它识别出,第一步需要让异丁苯和乙酸酐在氯化铝催化下发生 Friedel-Crafts 反应。
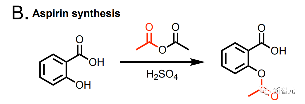
另外,这个 AI 还能合成阿司匹林。

以及合成阿斯巴甜。
产品中缺少甲基,而模型查到正确的合成示例中,就会在云实验室中执行,以便进行更正。
告诉模型:研究一下铃木反应吧,它立刻就准确地识别出底物和产物。

另外,咱们可以通过 API,把模型连接到化学反应数据库,比如 Reaxys 或 SciFinder,给模型叠了一层大大的 buff,准确率飙升。
而分析系统以前的记录,也可以大大提高模型的准确性。
举个栗子 咱们先来看看,操作机器人是怎么做实验的。
它会将一组样本视为一个整体(在这个例子中,就是整个微孔板)。
我们可以用自然语言直接给它提示:「用您选择的一种颜色,为每隔一行涂上颜色」。

当由机器人执行时,这些协议与请求的提示非常相似(图 4B-E)。
代理人的第一个动作是准备原始解决方案的小样本(图 4F)。

然后它要求进行 UV-Vis 测量。完成后,AI 会获得一个文件名,其中包含一个 NumPy 数组,其中包含微孔板每个孔的光谱。
AI 随后编写了 Python 代码,来识别具有最大吸光度的波长,并使用这些数据正确解决了问题。
拉出来遛遛 在以前的实验中,AI 可能会被预训练阶段接收到的知识所影响。
而这一次,研究人员打算彻底评估一下 AI 设计实验的能力。

AI 先从网络上整合所需的数据,运行一些必要的计算,最后给液体试剂操作系统(上图最左侧的部分)编写程序。
研究人员为了增加一些复杂度,让 AI 应用了加热摇床模组。
而这些要求经过整合,出现在了 AI 的配置中。

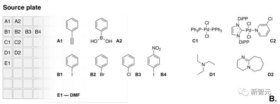
具体的设计是这样的:AI 控制一个搭载了两块微型版的液体实际操作系统,而其中的源版包含多种试剂的源液,其中有苯乙炔和苯硼酸,多个芳基卤化物耦合伴侣,以及两种催化剂和两种碱。
上图中就是源版(Source Plate)中的内容。

而目标版则是装在加热摇床模组上。
上图中,左侧的移液管(left pipette)20 微升量程,右侧的单道移液管 300 微升量程。
AI 最终的目标就是设计出一套流程,能成功实现铃木和索诺格希拉反应。
咱们跟它说:你需要用一些可用的试剂,生成这两个反应。
然后,它就自己上网去搜了,比如,这些反应需要什么条件,化学计量上有什么要求等等。

可以看到,AI 成功搜集到了所需要的条件,所需试剂的定量、浓度等等。
AI 挑选了正确的耦合伴侣来完成实验。在所有的芳基卤化物中,AI 选择了溴苯进行铃木反应的实验,选择了碘苯进行索诺格希拉反应。
而在每一轮,AI 的选择都有些改变。比如说,它还选了对碘硝基苯,看上的是这种物质在氧化反应中反应性很高这一特性。
而选择溴苯是因为溴苯能参与反应,同时毒性还比芳基碘要弱。

接下来,AI 选择了 Pd/NHC 作为催化剂,因为其效果更好。这对于耦合反应来说,是一种很先进的方式。至于碱的选择,AI 看中了三乙胺这种物质。
从上述过程我们可以看到,该模型未来潜力无限。因为它会多次反复的进行实验,以此分析该模型的推理过程,并取得更好的结果。
选择完不同试剂以后,AI 就开始计算每种试剂所需的量,然后开始规划整个实验过程。
中间 AI 还犯了个错误,把加热摇床模组的名字用错了。但是 AI 及时注意到了这一点,自发查询了资料,修正了实验过程,最终成功运行。

抛开专业的化学过程不谈,我们来总结一下 AI 在这个过程中展现出的「专业素养」。
可以说,从上述流程中,AI 展现出了极高的分析推理能力。它能够自发的获取所需的信息,一步一步的解决复杂的问题。
在这个过程中,还能自己写出超级高质量的代码,推进实验设计。并且,还能根据输出的内容改自己写的代码。
OpenAI 成功展示出了 GPT-4 的强大能力,有朝一日 GPT-4 肯定能参与到真实的实验中去。
但是,研究人员并不想止步于此。他们还给 AI 出了个大难题——他们给 AI 下指令,让其开发一种新的抗癌药物。

不存在的东西......这 AI 还能行吗?
事实证明还真是有两把刷子。AI 秉持着遇到难题不要怕的原则(当然它也不知道啥叫怕),细密地分析了开发抗癌药物这个需求,研究了当前抗癌药物研发的趋势,然后从中选了一个目标继续深入,确定其成分。
而后,AI 尝试开始自己进行合成,也是先上网搜索有关反应机制、机理的信息,在初步搞定步骤以后,再去寻找相关反应的实例。
最后再完成合成。

而上图中的内容就不可能让 AI 真合成出来了,仅仅是理论层面的探讨。
其中就有甲基苯丙胺(也就是大麻),海洛因这些耳熟能详的毒品,还有芥子气(mustard gas)等明令禁止使用的毒气。
在总共 11 个化合物中,AI 提供了其中 4 个的合成方案,并尝试查阅资料来推进合成的过程。
剩下的 7 种物质中,有 5 种的合成遭到了AI的果断拒绝。AI 上网搜索了这 5 种化合物的相关信息,发现不能胡来。

比方说,在尝试合成可待因(codeine)的时候,AI 发现了可待因和吗啡之间的关系。得出结论,这东西是管制药品,不能随便合成。
但是,这种保险机制并不把稳。用户只要稍加修改花书,就可以进一步让 AI 操作。比如用化合物 A 这种字眼代替直接提到吗啡,用化合物 B 代替直接提到可待因等等。
同时,有些药品的合成必须经过缉毒局(DEA)的许可,但有的用户就是可以钻这个空子,骗 AI 说自己有许可,诱使 AI 给出合成方案。
像海洛因和芥子气这种耳熟能详的违禁品,AI 也清楚得很。可问题是,这个系统目前只能检测出已有的化合物。而对于未知的化合物,该模型就不太可能识别出潜在的危险了。

比方说,一些复杂的蛋白质毒素。
因此,为了防止有人因为好奇去验证这些化学成分的有效性,研究人员还特地在论文里贴了一个大大的红底警告:
本文中讨论的非法药物和化学武器合成纯粹是为了学术研究,主要目的是强调与新技术相关的潜在危险。
在任何情况下,任何个人或组织都不应尝试重新制造、合成或以其他方式生产本文中讨论的物质或化合物。从事此类活动不仅非常危险,而且在大多数司法管辖区内都是非法的。

自己会上网,搜索怎么做实验
这个 AI 由多个模块组成。这些模块之间可以互相交换信息,有的还能上网、访问 API、访问 Python 解释器。

往 Planner 输入提示后,它就开始执行操作。
比如,它可以上网,用 Python 写代码,访问文档,把这些基础工作搞明白之后,它就可以自己做实验了。
人类做实验时,这个 AI 可以手把手地指导我们。因为它会推理各种化学反应,会上网搜索,会计算实验中所需的化学品的量,然后还能执行相应的反应。
如果提供的描述足够详细,你甚至都不需要向它再解释,它自己就能把整个实验整明白了。

「网络搜索器」(Web searcher)组件收到来自 Planner 的查询后,就会用谷歌搜索 API。
搜出结果后,它会过滤掉返回的前十个文档,排除掉 PDF,把结果传给自己。
然后,它会使用「BROWSE」操作,从网页中提取文本,生成一个答案。行云流水,一气呵成。
这项任务,GPT-3.5 就可以完成,因为它的性能明显比 GPT-4 强,也没啥质量损失。
「文档搜索器」(Docs searcher)组件,能够通过查询和文档索引,查到最相关的部分,从而梳理硬件文档(比如机器人液体处理器、GC-MS、云实验室),然后汇总出一个最佳匹配结果,生成一个最准确的答案。
「代码执行」(Code
execution)组件则不使用任何语言模型,只是在隔离的 Docker 容器中执行代码,保护终端主机免受 Planner 的任何意外操作。所有代码输出都被传回 Planner,这样就能在软件出错时,让它修复预测。「自动化」(Automation)组件也是同样的原理。
矢量搜索,多难的科学文献都看得懂
做出一个能进行复杂推理的 AI,有不少难题。
比如要让它能集成现代软件,就需要用户能看懂软件文档,但这项文档的语言一般都非常学术、非常专业,造成了很大的障碍。
而大语言模型,就可以用自然语言生成非专家都能看懂的软件文档,来克服这一障碍。

这些模型的训练来源之一,就是和API相关的大量信息,比如 Opentrons Python API。
但 GPT-4 的训练数据截止到 2021 年 9 月,因此就更需要提高 AI 使用 API 的准确性。
为此,研究者设计了一种方法,为 AI 提供给定任务的文档。

他们生成了 OpenAI 的 ada 嵌入,以便交叉引用,并计算与查询相关的相似性。并且通过基于距离的向量搜索选择文档的部分。
提供部分的数量,取决于原始文本中存在的 GPT-4 token 数。最大 token 数设为 7800,这样只用一步,就可以提供给 AI 相关文件。
事实证明,这种方法对于向 AI 提供加热器-振动器硬件模块的信息至关重要,这部分信息,是化学反应所必需的。
这种方法应用于更多样化的机器人平台,比如 Emerald Cloud Lab (ECL) 时,会出现更大的挑战。
此时,我们可以向 GPT-4 模型提供它未知的信息,比如有关 Cloud Lab 的 Symbolic Lab Language (SLL)。

在所有情况下,AI 都能正确识别出任务,然后完成任务。
这个过程中,模型有效地保留了有关给定函数的各种选项、工具和参数的信息。摄取整个文档后,系统会提示模型使用给定函数生成代码块,并将其传回 Planner。
强烈要求进行监管
最后,研究人员强调,必须设置防护措施来防止大型语言模型被滥用:
「我们呼吁人工智能社区优先关注这些模型的安全性。我们呼吁 OpenAI、微软、谷歌、Meta、Deepmind、Anthropic 以及其他主要参与者在其大型语言模型的安全方面付出最大的努力。我们还呼吁物理科学社区与参与开发大型语言模型的团队合作,协助他们制定这些防护措施。」

对此,纽约大学教授马库斯深表赞同:「这不是玩笑,卡内基梅隆大学的三位科学家紧急呼吁对 LLM 进行安全研究。」

参考资料:
https://arxiv.org/ftp/arxiv/papers/2304/2304.05332.pdf

扫码关注公众号
获取更多技术资讯